A19 Firdevs Eren Karaca

Aile Danismani Firdevs Karaca Eren Fiza Danismanlik

Aile Danismani Firdevs Karaca Eren Fiza Danismanlik

Firdevs Karaca Eren A Twitteren

Firdevs Karaca Eren A Twitteren

Fiza Danismanlik Yeni Yerinde Hizmet Vermeye Basladi

Fiza Danismanlik Yeni Yerinde Hizmet Vermeye Basladi

Corum Un Ilk Ozel Egitim Ve Aile Danisma Merkezi

Corum Un Ilk Ozel Egitim Ve Aile Danisma Merkezi

Firdevs Karaca Eren About Contact Instagram Photos

Firdevs Karaca Eren About Contact Instagram Photos

Firdevs Karaca Eren Haberleri Habercim19 Corum Haber Merkezi

Firdevs Karaca Eren Haberleri Habercim19 Corum Haber Merkezi

Firdevs Karaca Eren Haberleri Habercim19 Corum Haber Merkezi

Bersenang senanglah dan dapatkan lebih banyak keterampilan game sekarang.

A19 firdevs eren karaca. Get in touch with eren karaca erenkaraca190723 48 answers 45 likes. View the profiles of people named filiz firdevs. Facebook gives people the power to. Ask anything you want to learn about eren karaca by getting answers on askfm.

Nikmati eren kara live streaming di nimo tv. Sorgun kız meslek lisesi çocuk gelişimi lisans. En büyük profesyonel topluluk olan linkedin de eren karaca adlı kullanıcının profilini görüntüleyin. Reflections on emerging technologies in nanomedicine munis dundar adam mechler jean pierre alcaraz gary henehan satya prakash ratnesh lal donald martin doi.

Linkedin deki tam profili ve eren karaca adlı kullanıcının bağlantılarını ve benzer şirketlerdeki işleri görün. 265 lb 120 kg. 5 feet 11 inch 180 cm. Join facebook to connect with filiz firdevs and others you may know.

Urban multi boxe umb manager. özel eğitim yüksek lisans. View the profiles of professionals named firdevs karaca on linkedin. Ben eren karaca bu kişisel kanalımda sizlere oyun videoları eğlenceli videolar telifsiz müzikler vloglar çekiyorum lütfen kanala abone olma.

28 years old 06 01 1992. The latest tweets from firdevs karaca eren efirdevs. Eren karaca adlı kişinin profilinde 6 iş ilanı bulunuyor.

Firdevs Karaca Eren On Twitter Evliliklerinin Ilk Yillarinda Baslayan Danismanlik Hizmetimiz Simdi De Bu Mutlu Yuvaya Tesrif Eden 2 Aylik Melegin Gelisim Takibiyle Devam Ediyor Yavrularinin Gelisimini Bu Derece Hassasiyetle Takip Eden

Firdevs Karaca Eren On Twitter Evliliklerinin Ilk Yillarinda Baslayan Danismanlik Hizmetimiz Simdi De Bu Mutlu Yuvaya Tesrif Eden 2 Aylik Melegin Gelisim Takibiyle Devam Ediyor Yavrularinin Gelisimini Bu Derece Hassasiyetle Takip Eden

Dizi Community

Dizi Community

Firdevs Karaca Eren Fiza Aile Danismanligi Fatih Sultan Mehmet Ilkokulu Nda Seminer Programi Youtube

Firdevs Karaca Eren Fiza Aile Danismanligi Fatih Sultan Mehmet Ilkokulu Nda Seminer Programi Youtube

Firdevs Krc Eren Instagram Profile With Posts And Stories Picuki Com

Firdevs Krc Eren Instagram Profile With Posts And Stories Picuki Com

Day 1 September 11 2014 1 September 11 2014 Thursday Opening Ceremony Nurettin Gz Hayrullah Yanik Talip Ztrk

Day 1 September 11 2014 1 September 11 2014 Thursday Opening Ceremony Nurettin Gz Hayrullah Yanik Talip Ztrk

Dizi Community

Dizi Community

Dizi Community

Dizi Community

Dizi Community

Dizi Community

Dizi Community

Dizi Community

Camlica Metem De Zamane Gencleri Anlatildi

Camlica Metem De Zamane Gencleri Anlatildi

Dizi Community

Dizi Community

Dizi Community

Dizi Community

Dizi Community

Dizi Community

Tfd 33 Proceeding Book

Tfd 33 Proceeding Book

Day 1 September 11 2014 1 September 11 2014 Thursday Opening Ceremony Nurettin Gz Hayrullah Yanik Talip Ztrk

Day 1 September 11 2014 1 September 11 2014 Thursday Opening Ceremony Nurettin Gz Hayrullah Yanik Talip Ztrk

Indeks2001

Indeks2001

Dizi Community

Dizi Community

Dizi Community

Dizi Community

Kiz Meslek Liselilere Uzmanindan Oneriler Yaylahaber

Kiz Meslek Liselilere Uzmanindan Oneriler Yaylahaber

Betul Abla Orphans Project Postingan Facebook

Betul Abla Orphans Project Postingan Facebook

Betul Abla Orphans Project Postingan Facebook

Betul Abla Orphans Project Postingan Facebook

Dizi Community

Dizi Community

Ksbd Dergi 1 Cdr

Ksbd Dergi 1 Cdr

Anadolu Rock Ozani Cem Karaca

Anadolu Rock Ozani Cem Karaca

Bilig 40 Sayi

Bilig 40 Sayi

Fiza Dan Kotu Dunyada Iyi Cocuklar Yetistirmek Egitimi

Fiza Dan Kotu Dunyada Iyi Cocuklar Yetistirmek Egitimi

2 A Zmir Ekonomi Aœniversitesi

2 A Zmir Ekonomi Aœniversitesi

Dizi Community

Dizi Community

Dizi Community

Dizi Community

Untitled

Untitled

Betul Abla Orphans Project Postingan Facebook

Betul Abla Orphans Project Postingan Facebook

Dizi Community

Dizi Community

Wkf Ranking

Wkf Ranking

Yalcin Efendi 2 Bolum 4 6 Pdf

Yalcin Efendi 2 Bolum 4 6 Pdf

2 A Zmir Ekonomi Aœniversitesi

2 A Zmir Ekonomi Aœniversitesi

Indeks2001

Indeks2001

Betul Abla Orphans Project Postingan Facebook

Betul Abla Orphans Project Postingan Facebook

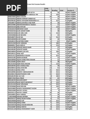
S1results

S1results

Dizi Community

Dizi Community

Firdevs Krc Eren Instagram Profile With Posts And Stories Picuki Com

Firdevs Krc Eren Instagram Profile With Posts And Stories Picuki Com

13452784 Simler Sozluu

13452784 Simler Sozluu

Indeks2001

Indeks2001

Source : pinterest.com